Zhonghui

每个不曾起舞的日子,都是对生命的辜负

User Tools

Site Tools


数学:修考数学:数学2_02

数学2(02):微分方程

高阶,方程组等进阶内容


高阶微分方程可以化为低阶的情况

直接积分

虽然是高阶,但是可以直接积分,多积分几次就可以了

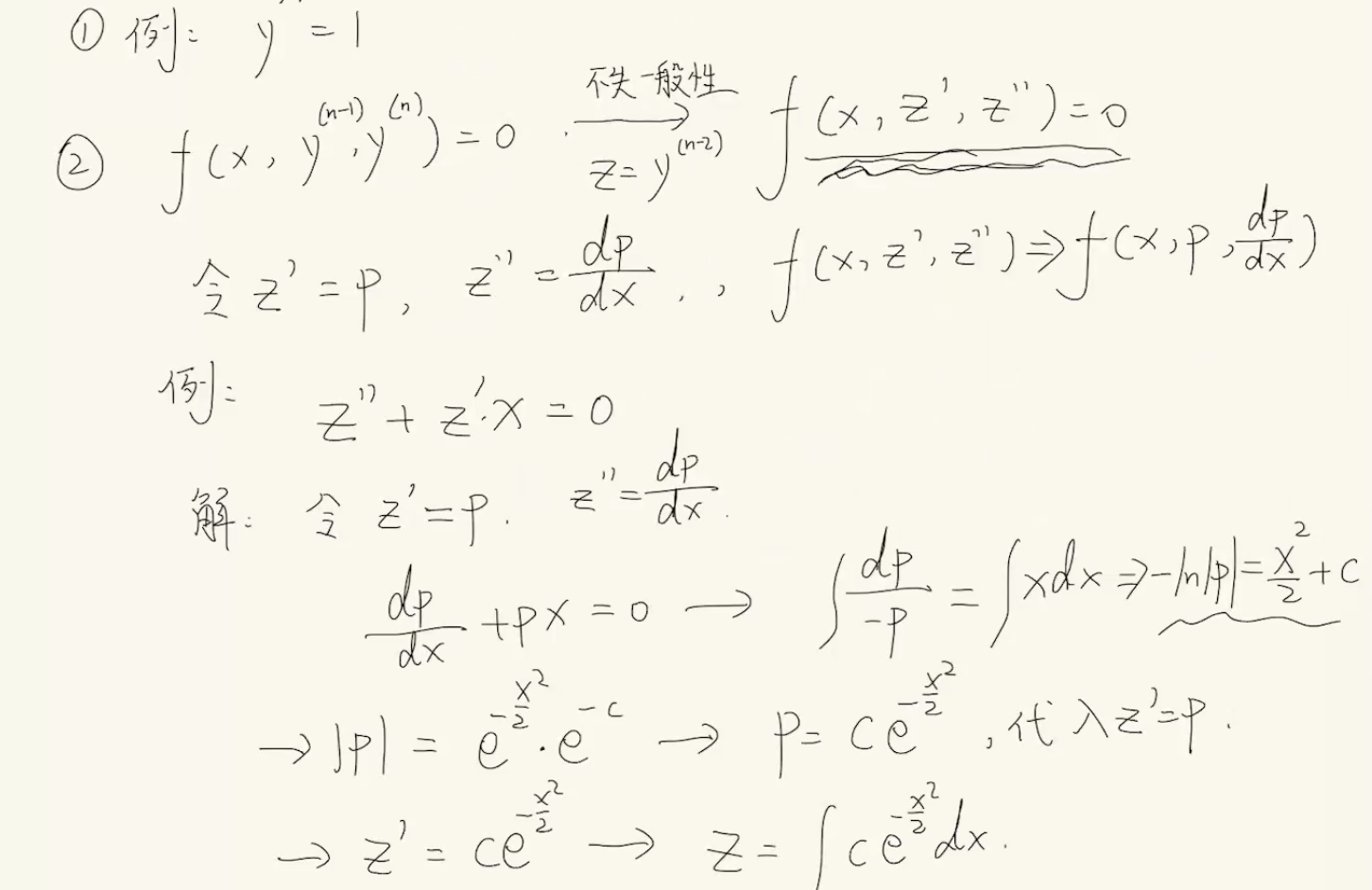
只有n阶和n-1阶

只有n阶和n-1阶(y没有出现),替换变量,化成可以分离变量的形式

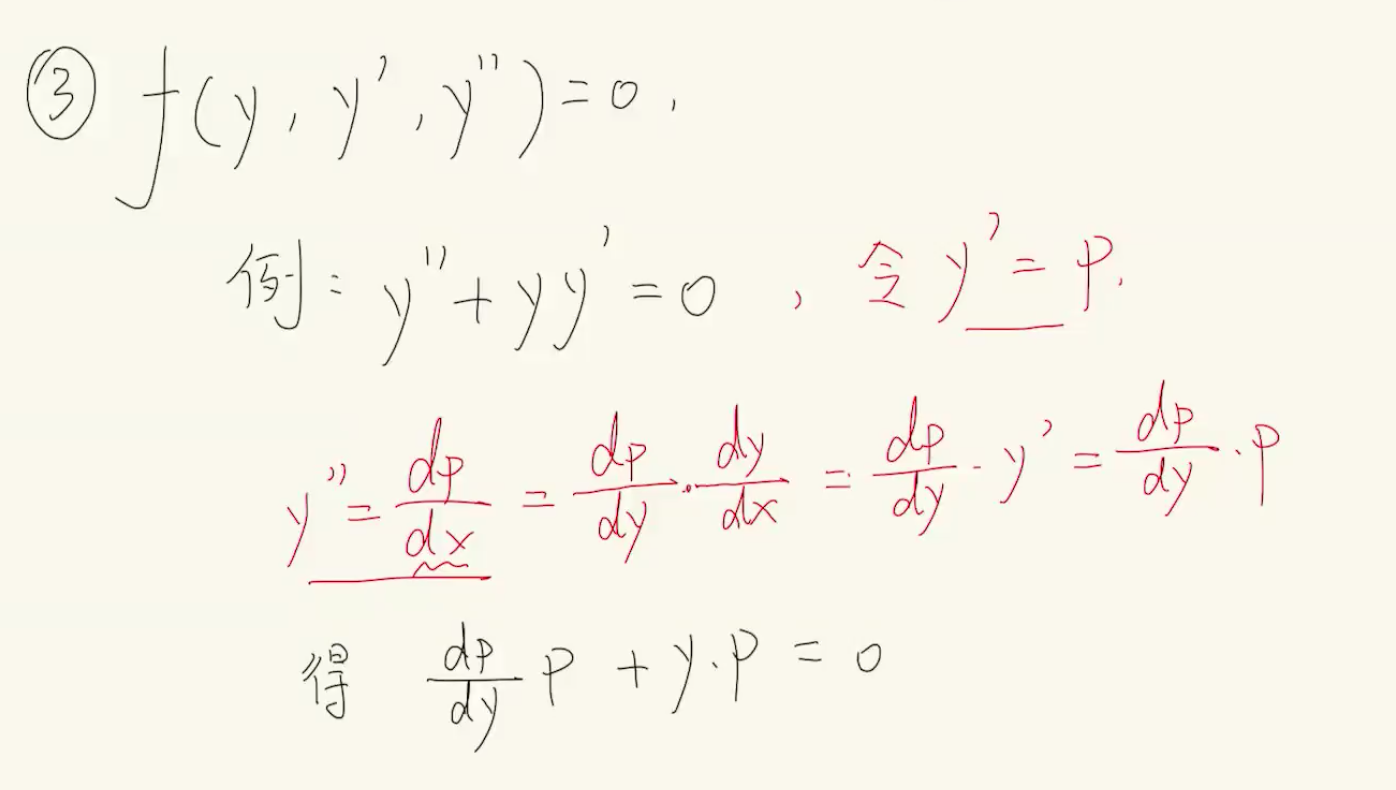
x没有出现

x没有出现,利用链式法则处理,思路还是消除变量,达到可以分离变量的程度

二阶线性微分方程(非常系数)

  1. 线性:y的各阶导数之间是相加的关系(没有相乘等运算)/对于y及其各阶导数是线性的(没有y及其各阶导数之间的相互乘积)
  2. 常系数:y的导数的各项的系数是常数(和x无关)/y及其各阶导数前面的系数是否为常数(还是一个式子)
  3. 齐次:是不是0/除y及其各阶导数以外的部分,是0(非齐次就是不是0)

齐次的情况

有定理12

定理1:

证明定理1:代入即可。但是$c_1y_1+c_2y_2$不一定是方程的通解

定理2:当$y_1$和$y_2$线性无关时,$c_1y_1+c_2y_2$是方程的通解。(如果线性相关,常数就可以合并了,不符合通解的定义)
线性无关:二者做比,比值包含x,比如$x^2$和$x$(线性无关);比较不包含x,是个常数,比如$x^2$和$2x^2$(线性相关)。
定理2可以推广至n阶线性微分方程,比如3阶线性微分方程对应$c_1y_1+c_2y_2+c_3y_3$

Q:通解(一般解)的定义是?包含N个不能合并的任意常数的解
特解:满足方程但是不包含任意常数

非齐次的情况

定理3:式子中(1)表示的是对应的齐次方程

代入:式子成立,可证明$Y+y^{*}$是方程组的解。然后,$Y$中有两个不可合并的任意常数,$y^{*}$中没有,所以一共包含两个不可合并的任意常数,所以是通解。

根据定理3,我们可以得到,求解高阶线性非齐次微分方程的一个思路:

常数变易法

用处:找非齐次线性微分方程的解(这里求出来的是通解吗?)(以上用定理3的思路求解非齐次线性微分方程的步骤2

大概流程:

假设对应的齐次方程的通解是:$c_1y_1+c_2y_2$
设:$u_1y_1+u_2y_2$为非齐次的一个解

将$y=u_1y_1+u_2y_2$代入非齐次方程
代入之前加一个约束条件
得到$y^{\prime}$和$y^{\prime\prime}$

代入方程后,消除一部分
消除的根据是:$y_1$和$y_2$都是齐次方程的解
即可得到一个方程

上面添加过一个约束条件,和刚才得到的方程一起组成一个方程组
最终得到一个方程组,即可解得$u_1^{\prime}$和$u_2^{\prime}$,再积分即可

二阶线性常系数(结论可推导至高阶)

齐次的情况

特征根
基本思路:设方程的解为$e^{{\lambda}x}$,代入即可,即可得到关于$\lambda$的方程(一元二次方程,特征方程)

对于以上结果

  1. 两个不同的实数根的情况很好理解
  2. 对于重根的情况,可以使用常数变易法找到另一个解(课件中有详细的推导)
  3. 对于没有实数根的情况,其实和第一种情况类似,只是化简了一下,变成了三角函数的形式(欧拉函数)

以上内容都可推导至n阶,解的情况如下(最后各个根对应的解都加起来就行了,课件中有一道例题):

非齐次的情况

可以类比非常系数非齐次情况的定理3(参照上文)
先找齐次的通解,再找到非齐次的一个特解

那么如何找非齐次的特解呢?

首先,可以根据右边的$f(x)$的形式“猜一下”:

情况1:

找到$R(x)$应该是几次多项式,然后设其系数,再代回(原微分方程)求解(有一定的计算量)(还是要看一下例题)

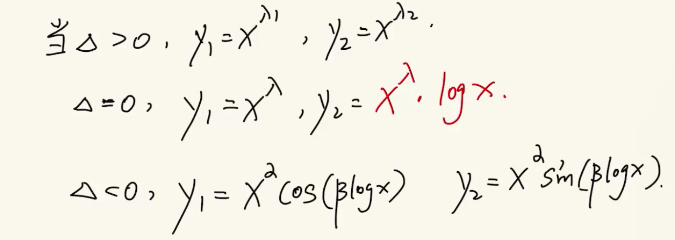
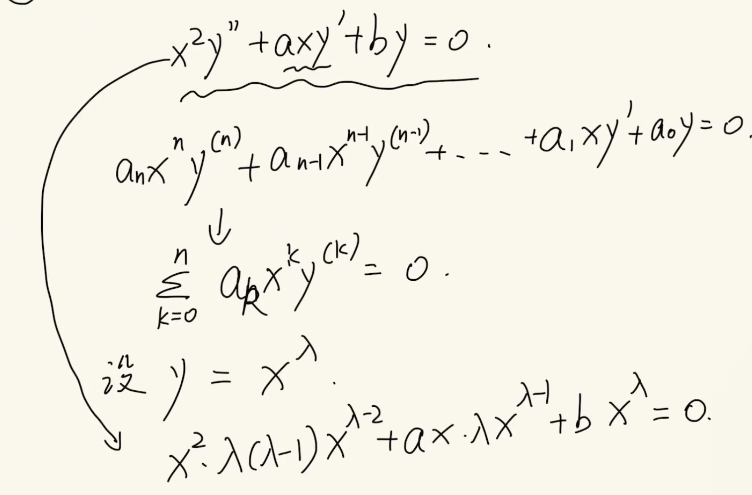
欧拉方程

不是常系数;有方法处理,一般形式如下:

代入后即可解得$\lambda$的值,然后得到微分方程的解(分以下情况讨论)

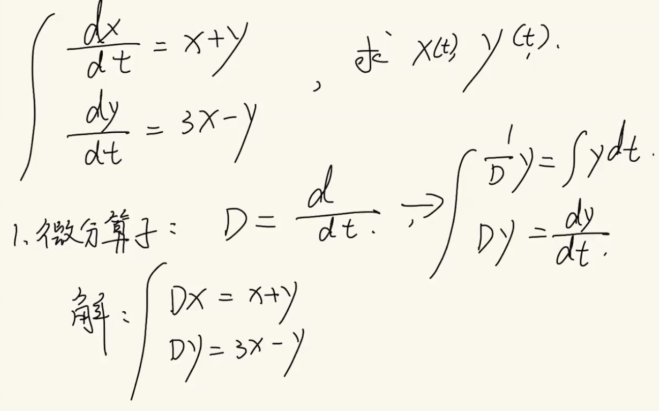
微分方程组

偏微分方程不是同一个东西

要理解微分算子以下只是举个例子(这道题好像用微分算子不好做)

/var/www/DokuWikiStick/dokuwiki/data/pages/数学/修考数学/数学2_02.txt · Last modified: 2024/03/26 05:54 by zhonghui