x和y可以分到等号的两边 $$ g(y)dy=f(x)dx $$ 分离x和y,左右两边同时积分
对“齐次”的理解:包含xy的式子,次数是相同的,比如$x^3y^2$和$xy^4$。可以化为以下的形式:
$$ \frac{dy}{dx}=\phi(\frac{y}{x}) $$
换元:$ u=\frac{y}{x} $,要注意u是关于x的函数(因为y是关于x的函数,除以x后还是关于x的函数)。
最后得到可分离变量的类型,然后把$u$移动到一边,再计算,可得到$u$,然后再得到$y$(课件有一道例题)
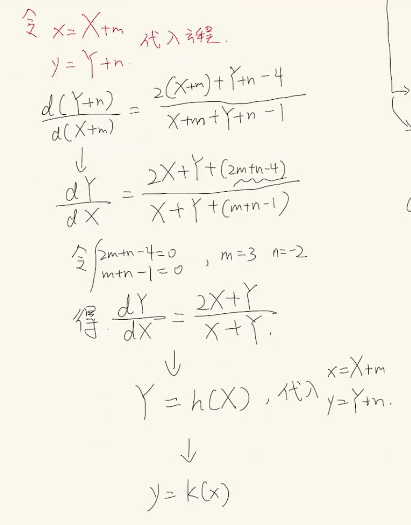
例如:$(2x+y+4)dx-(x+y-1)dy=0$,其中包含了常数,常数次数是0,如何处理呢?
消除常数。思路:渐化式
用上面的方法会推导出矛盾,无法求出$m$和$n$(不满秩)。则此时对$x+y$换元,另$x+y=u$
y和其各阶导数是分开的
一般形式(非常系数,非齐次):
$$ \frac{dy}{dx}+P(x)y=Q(x) $$
对应的齐次形式:$ \frac{dy}{dx}+P(x)y=0 $,齐次形式可以使用分离变量的方法解决
主要思路:把齐次的解里面的的常数,换成一个函数(常数变易)
先考虑上式的齐次形式(等式右边为0,$\frac{dy}{dx}+P(x)y=0$),则可以直接分离变量,$ \int{\frac{dy}{y}}=\int{-Pdx} $,解(通解)为: $$ y=ce^{-\int{pdx}} $$
然后考虑原来的方程(非齐次的形式),假设方程的解为(把常数换成关于x的函数)(猜测非齐次和齐次的解长得很像): $$ y^{*}=u(x)e^{-\int{pdx}} $$
代回(先求$y^{*\prime}$,然后将$y^{*\prime}$和$y^{*}$代回原微分方程)
求出$u$(就是下式括号中的内容),$u=\int{Qe^{\int{pdx}}dx+c}$
最终得到(非齐次)微分方程的通解是: $$ y = u(x)e^{-\int{pdx}} =(\int{Qe^{\int{pdx}}dx+c})e^{-\int{pdx}} = e^{-\int{pdx}}\int{Qe^{\int{pdx}}dx}+ce^{-\int{pdx}} $$
观察上式,最终解是:一个特解(左)+齐次的通解(右)
课件中有一道例题
代替常数变易法的一种简便思路(下图有一点小的书写错误):
和一阶线性有类似之处
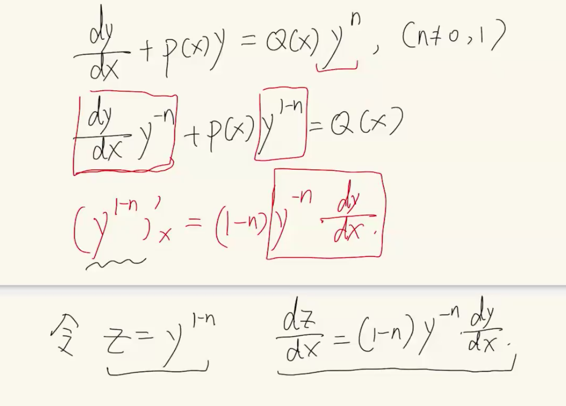
$$ \frac{dy}{dx}+P(x)y=Q(x)y^n,(n\neq 0,1)$$
首先左右同除$y^n$
令:$z=y^{1-n}$,转换为一阶线性微分方程(非齐次)
$$ \frac{1}{1-n}\frac{dz}{dx}+P(x)z=Q(x) $$ $$ \frac{dz}{dx}+(1-n)P(x)z=(1-n)Q(x) $$
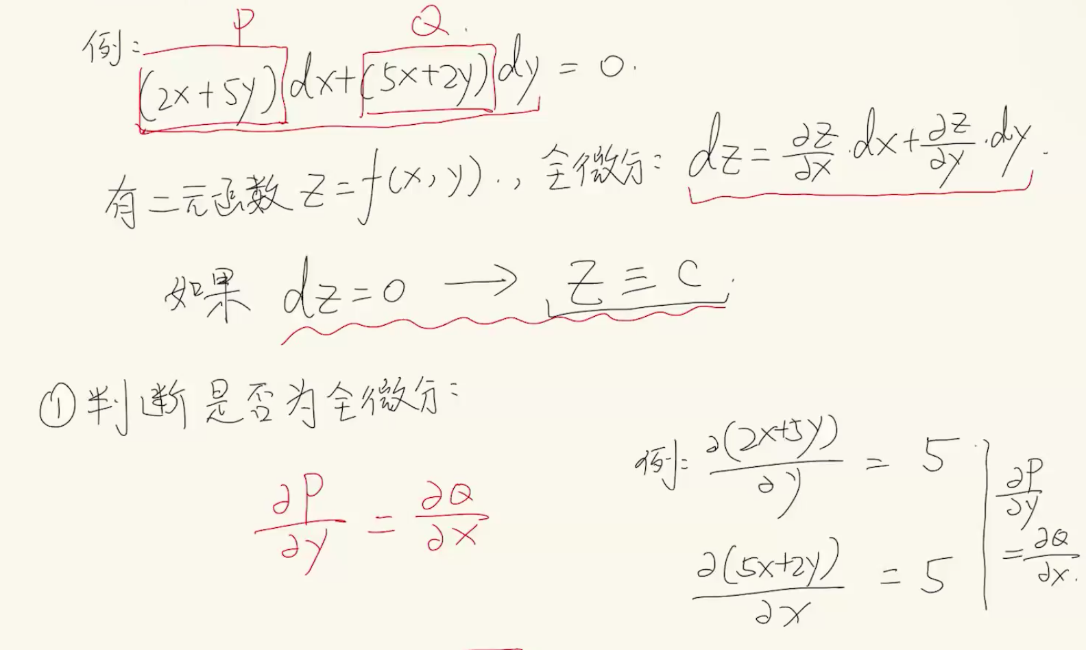
全微分=0的话,说明函数恒等于某个常数
步骤:

特殊情况:$ \frac{\partial P}{\partial y}\neq \frac{\partial Q}{\partial x}$(不是全微分)
积分因子法,凑成全微分